近日,Journal of Fluid Mechanics(JFM)以“The conditional Lyapunov exponents and synchronisation of rotating turbulent flows”为题刊发了我校在湍流数据同化方向的最新研究成果。由我校伊莉讨论区
海洋工程与技术系李健副教授团队与谢菲尔德大学合作者共同完成。Journal of Fluid Mechanics由英国剑桥大学George K. Batchelor创办,被公认为流体力学领域的顶级期刊。

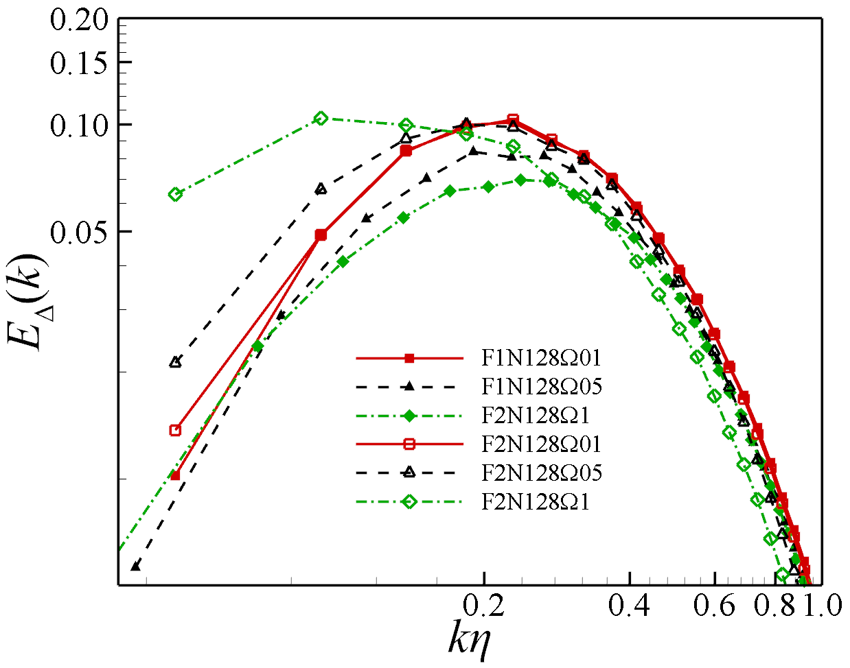
旋转湍流广泛存在于自然界和工程领域中,如自然界的台风、气旋,工程领域中涡轮机、风力机等内部流场。在湍流的实践中,小尺度观测数据往往是不可直接测量获取的,初始条件中小尺度的不确定性在湍流发展过程中迅速放大,从而导致所有尺度流动结构预测失准。因此,提升湍流预测和重构的准确性是学术界和工业界的目标之一。本文发现Lyapunov向量能谱在临界耦合尺度(湍流重构所需的最少耦合尺度)附近存在峰值特征,这意味着若观测数据能包含自身对扰动最敏感的尺度,所有尺度的湍流结构均可预测成功,为湍流预测与重构的研究开创了一种新的视角。该成果得到了国家自然科学基金青年项目的资助。

图1. 旋转湍流

图2. Lyapunov向量能谱分布

图3. Lyapunov向量能谱峰值对应的耦合尺度(虚线)与临界耦合尺度(实线)